ABE考核
2025.06.05-Charm-Crypto库环境配置
2025.06.06-布尔访问树算法
2025.06.06-线性秘密共享方案
2025.06.06-拉格朗日差值实现秘密恢复
2025.06.07-基于cpabe的医院场景加密解密demo方案
2025.06.08-基于Chram-Crypto库的医院场景CpabeDemo实现
本文档使用 MrDoc 发布
-
+
首页
2025.06.06-布尔访问树算法
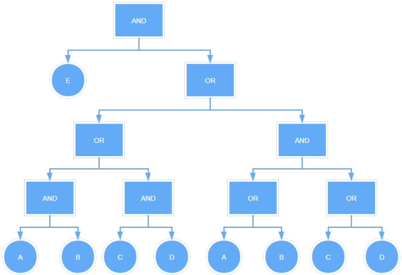
#### 门限实现 Gate类实现了一个门限门,参数为k,n;其中n表示该门控制的子节点数量;k表示阈值,可以解释为‘至少k个符合,这个门才能打开’。 ``` class Gate: def __init__(self, k, n) -> None: # Gate 类表示一个门限门(threshold gate) # k 表示阈值,比如 "至少 k 个" # n 表示该门控制的子节点数量 self.k = k self.n = n def __str__(self): # 返回门限门的字符串表示形式,如 "(k, n)" return f'({self.k}, {self.n})' ``` #### 节点Node实现 1)Node为访问结构中的一个节点,参数有:gate为门限门节点,children为子节点列表(Node对象,非叶子节点),attr为属性名称(只有叶子节点才有),其中self.secret用于存储于该节点对应的秘密值,初始为None。 ``` def __init__(self, gate, children, attr) -> None: # Node 类表示访问结构中的一个节点 # gate: Gate 对象,如果该节点是非叶子门限节点,则为门限门对象,否则为 None # children: 子节点列表(Node对象列表),非叶子节点才有子节点 # attr: 属性名称,叶子节点才有属性,非叶子节点为 None self.gate = gate self.children = children self.attr = attr # secret: 用于存储与该节点对应的秘密值,初始为 None self.secret = None ``` 2)构建一个**门限节点**,输入门限门和子节点列表children,返回一个Node对象。 ``` @staticmethod def threshold_node(gate, children): # 静态方法,构造一个门限节点 # 输入门限门 gate 和子节点列表 children,返回一个 Node 对象 return Node(gate, children, None) ``` 3)构造一个**属性节点**(叶子节点),输入属性名称attr,返回一个Node对象,gate和children都为None ``` @staticmethod def attr_node(attr): # 静态方法,构造一个叶子节点(属性节点) # 输入属性名称 attr,返回一个 Node 对象,gate 和 children 都为 None return Node(None, None, attr) ``` 4)判断节点是否为属性节点,通过self.gate为None来判断 ``` def is_leaf(self): # 判断该节点是否是叶子节点(即是否为属性节点) # 如果 gate 是 None,则说明是叶子节点 return self.gate is None ``` 5)私有递归函数,深度有限遍历访问树节点,用于生成节点及其子节点的字符串表示。 ``` def __dfs(self, deep): # 私有递归函数,深度优先遍历访问树节点,用于生成节点及其子节点的字符串表示 # deep 表示当前节点的深度,用于缩进格式化输出 s = '\t' * deep # 根据深度添加缩进 if self.is_leaf(): # 叶子节点,打印属性名和秘密值 s += str(self.attr) + f': {self.secret}' + '\n' else: # 非叶子门限节点,打印门限门信息和秘密值 s += str(self.gate) + f': {self.secret}' + '\n' # 递归遍历所有子节点,增加深度缩进 for c in self.children: s += c.__dfs(deep + 1) return s ``` 6)当调用 print(node) 或 str(node) 时,调用该函数输出节点信息,调用递归函数 __dfs 从根节点开始遍历。 ``` def __str__(self): # 当调用 print(node) 或 str(node) 时,调用该函数输出节点信息 # 实际调用递归函数 __dfs 从根节点开始遍历 return self.__dfs(0) ``` #### 例子测试 构造一个布尔访问树,and节点使用门限(2,2)表示,or节点使用(1,2)表示  ``` from src.node import * # 构建上述布尔访问树, and节点使用门限(2, 2)表示,or节点使用(1, 2)表示 root = Node.threshold_node(Gate(2, 2), [ Node.attr_node('E'), Node.threshold_node(Gate(1, 2), [ Node.threshold_node(Gate(1, 2), [ Node.threshold_node(Gate(2, 2), [Node.attr_node('A'), Node.attr_node('B')]), Node.threshold_node(Gate(2, 2), [Node.attr_node('C'), Node.attr_node('D')]) ]), Node.threshold_node(Gate(2, 2), [ Node.threshold_node(Gate(1, 2), [Node.attr_node('A'), Node.attr_node('B')]), Node.threshold_node(Gate(1, 2), [Node.attr_node('C'), Node.attr_node('D')]) ]) ]) ]) print(root) ``` ``` (2, 2): None E: None (1, 2): None (1, 2): None (2, 2): None A: None B: None (2, 2): None C: None D: None (2, 2): None (1, 2): None A: None B: None (1, 2): None C: None D: None ```
happyboysrt
2025年6月6日 17:00
转发文档
收藏文档
上一篇
下一篇
手机扫码
复制链接
手机扫一扫转发分享
复制链接
Markdown文件
PDF文档(打印)
分享
链接
类型
密码
更新密码